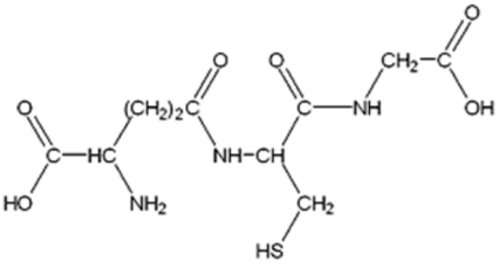
Glutathione (GSH) is an antioxidant and anti-carcinogen that is present in plant and animal tissues that form the bulk of the human diet.
It is a natural compound present in every cell, and acting essentially as an antioxidant. It is nowadays produced by humans as a food complement recommended for staying in good health.
It allows these cells keeping adequate redoxy potential, and acts in detoxification and eliminatory functions. Under its reduced form, it is the most important cellular antioxidant.
Because of its central role in detoxification, approximately 25% of all the body’s glutathione resides in the liver alone. Glutathione is also concentrated in the kidneys and in mucosal secretions of the intestinal lining and lungs. It is present inside cells and in extracellular fluids.
Consuming foods rich in sulphur-containing amino acids can help boost glutathione levels. Here are some food sources and dietary supplements that help boost glutathione levels naturally.
Glutathione as antioxidant
The primary goal of food is to promote our health and general well-being. Food science entails comprehending the characteristics, composition, and behaviors of food constituents in different situations, such as storage, handling, and consumption.
November 1, 2018
The Most Popular Posts
-
Crude fiber is a measure of the quantity of indigestible cellulose, pentosans, lignin, and other components of this type in present foods. ...
-
Crude fat is the term used to refer to the crude mixture of fat-soluble material present in a sample. Crude fat also known as the ether ext...
-
Gelatinization occurs when starch granules are heated in a liquid. It is responsible for the thickening of food systems. The process is an i...
-
Density is the weight of a substance per unit of volume, while specific gravity is the ratio between the density of the substance and that o...
-
Ash or mineral content is the portion of the food or any organic material that remains after it is burned at very high temperatures. The a...
